320x100
트리와 그래프
그래프를 설명하기 이전에, 트리가 빠질 수 없습니다.
그래프는 겉보기에 트리와 상당히 유사하지만, 더 다양한 표현 방법으로 인해 기능이 많아지고, 그럼으로써 어려워졌다고 볼 수 있습니다.
이번 포스트에서는 트리 자체에 대한 내용을 따로 다루지 않을 것이고, 필요하시다면 이전글을 참조해주세요.
차이
- Tree
- 무조건적으로 부모-형제 관계와 같이 상-하 구조로 연결되어 있다.
- 위에서 아래로 방향성을 갖고 있다.
- 계층 모델을 사용

- Graph
- 부모-형제 개념이 없다.
- 방향성에 대한 제약이 없다(양방향, 단방향).
- 연결 상태를 필수적으로 갖지 않아도 된다.
- 네트워크형 모델을 사용한다.

추가 용어
- 방향 그래프 : 간선의 방향이 존재하는 그래프. 무방향 그래프에서는 양방향으로 이동이 가능.
- 연결 그래프 : 두개 이상의 정점이 연결되어 있는 그래프
- 사이클 그래프 : 특정 노드의 경로가 시작-종료지점이 동일한 그래프
- 완전 그래프 : 그래프 내 모든 정점이 서로 연결되어 있는 그래프
사용도
- 지하철 목적지 최단거리 알고리즘
- DFS
- BFS
구현 방법
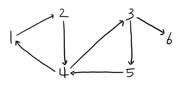
인접한 노드를 리스트 형태로 나타내는 방법, 행렬로 나타내는 방법 두 가지가 있습니다.
다음 그림은 아까 전, 그래프에 대한 예시로 보여드렸던 내용이며, 이를 토대로 나타내보도록 하겠습니다.

- Adjacency List
그래프의 연결 상태를 리스트에 담는 형태
- Adjacency Matrix

그래프의 연결 상태를 행렬로 나타내는 형식

DFS(Depth First Search, 깊이 우선 탐색)
그래프를 다룰 경우, 빠질 수 없는 알고리즘입니다
DFS는 한 마디로, 노드를 순서대로 탐색하되, 더 깊은 내용(연결된 다른 내용)이 존재한다면, 존재하지 않을 때까지 들어간 후 다음 노드를 탐색하는 방법입니다.
그래프 탐색에서는 어떤 노드가 거쳐갈 때, 그에 대한 플래그를 체크하는 것이 굉장히 중요합니다. 이미 방문한 노드인 경우, 다시 해당 노드에서 작업을 할 필요가 없기 때문이죠.
따라서, DFS 방법은 하나의 기준 노드에서 방문 여부를 체크하고, 연결된 노드가 있을 때 재귀적으로 연결 노드가 없을 때까지 파악하는 프로세스를 가지고 있습니다.

public void dfs(Node node) {
System.out.println(node.data + " ");
node.visited = true;
Iterator<Node> iter = node.adjacent.iterator();
while(iter.hasNext()) {
Node adNode = iter.next();
if(!adNode.visited) {
dfs(adNode);
}
}
}
구현(Graph)
package Graph;
import java.util.ArrayList;
import java.util.Iterator;
// Adjacency List Graph
public class Graph {
public class Node {
private int data;
private boolean visited;
private ArrayList<Node> adjacent;
public Node() {
visited = false;
adjacent = new ArrayList<Node>();
}
public Node(int data) {
this.data = data;
visited = false;
adjacent = new ArrayList<Node>();
}
public int getData() {
return data;
}
}
public Graph() {
}
public Node addNode(int data) {
Node newNode = new Node(data);
return newNode;
}
public void addEdge(Node node1, Node node2) {
node1.adjacent.add(node2);
}
// 방향 그래프
public void dfs(Node node) {
System.out.println(node.data + " ");
node.visited = true;
Iterator<Node> iter = node.adjacent.iterator();
while(iter.hasNext()) {
Node adNode = iter.next();
if(!adNode.visited) {
dfs(adNode);
}
}
}
}
실행
import Graph.Graph;
import Graph.Graph.Node;
public class Run {
public static void main(String[] args) {
Graph g = new Graph();
// 노드 생성
Node node1 = g.addNode(1); Node node2 = g.addNode(2);
Node node3 = g.addNode(3); Node node4 = g.addNode(4);
Node node5 = g.addNode(5); Node node6 = g.addNode(6);
// 연결 상태 정의
g.addEdge(node1, node2);
g.addEdge(node2, node4);
g.addEdge(node3, node5);
g.addEdge(node3, node6);
g.addEdge(node4, node1);
g.addEdge(node4, node3);
g.addEdge(node5, node4);
g.dfs(node1);
}
}
320x100
'알고리즘 > Data Structure' 카테고리의 다른 글
| 자료구조 학습) 2. 자료구조를 배우기 위한 전반 지식 (0) | 2022.01.14 |
|---|---|
| 자료구조 학습) 1. 자료구조를 배우기 전 (0) | 2021.09.15 |
| [자료구조, Java] Map 개념 및 활용 (0) | 2020.09.05 |
| [자료구조, Java] Set 개념 및 활용 (0) | 2020.09.05 |
| [자료구조, Java] 트리(Tree) 개념 정리 및 구현 (5) | 2020.09.02 |